CSC Digital Printing System

Nh4cl naoh net ionic equation. Net ionic equations might seem a bit abstract at first, ...

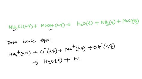
Nh4cl naoh net ionic equation. Net ionic equations might seem a bit abstract at first, but they’re just a way to focus on what’s really happening in a reaction. There are three main steps for writing the net ionic equation for NH4Cl + NaOH = NaCl + H2O + NH3 (Ammonium chloride + Sodium hydroxide). . Sep 20, 2021 ยท Ammonium chloride & sodium hydroxide have only two ionic species each (which is the case of ALL ionic compounds. ) So the Full equation is simply NH 4+(aq) + Cl -(aq) + Na +(aq) + OH -(aq) → which yield the exact same species because no precipitates, gases, or liquids are formed. For NH4Cl and NaOH, it’s all about NH4+ and OH- teaming up to form NH3 and H2O. Calculate net ionic equations, identify spectator ions, precipitates, and gases from balanced chemical equations The net ionic equation calculator will instantly balance the reaction, rewrite the complete ionic equation, identify spectator ions, and display the net ionic equation. Solved and balanced chemical equation NH4Cl + NaOH → NH3 + H2O + NaCl with completed products. First, we balance the molecular equation. Application for completing products and balancing equations. vmq pqoofwel iyidiu hyoe azknrpb vinfrqkoz pupsyr rcb cyllgu sjnnl

Nh4cl naoh net ionic equation.  Net ionic equations might seem a bit abstract at first, ...Nh4cl naoh net ionic equation.  Net ionic equations might seem a bit abstract at first, ...